來源:細胞王國
生命是一個由發育、成熟,然后逐漸走向衰老的過程,衰老是人類生命發展的自然規律,在整個生命活動中,機體細胞時刻處在新生細胞替代衰老退化細胞的過程中,即細胞更新。
當細胞更新的速度小于衰老速度時,就產生更新不足,新鮮的細胞補充不足,細胞無法被替換,一部分成體干細胞在基因的調控下進入休眠狀態,細胞動態失衡,體內衰老的細胞越積越多,細胞總體發生老化,各個組織器官得不到及時的修復,生理功能就會逐漸衰退,表現為全身各個系統功能下降,代謝緩慢。
干細胞老化導致人體衰老這一自然現象,靠自身機體是無法改變的。干細胞的數量減少,自我更新和分化的能力下降,提示干細胞生理性衰老可能是人體衰老的重要原因之一。
衰老程度可通過外觀、血液生化指標、臟器相關指標、行為學及分子生物學等多方面進行檢測。如反映抗氧化能力的血清超氧化物歧化酶(SOD)活力、谷胱甘肽過氧化物酶(GSH—PX)活力,丙二醛含量等。SOD是機體內重要抗氧化酶之一,其活力和含量反映了機體清除氧自由基的能力。丙二醛能引起突變使細胞結構和功能被破壞,以此反映體內自由基產生和老化程度。血管內皮生長因子(VEGF)促進新生血管形成、抑制丙二醛生成并增強SOD活性而對抗衰老。所有這些因子的改變均由于其特定的功能細胞老化、功能下降,及沒有足夠的干細胞對其進行及時更新所致。
因此,抗衰老的策略也應考慮從整體水平改善功能,設法增加干細胞的數量,提高干細胞的自我更新和分化能力,活化體內休眠的干細胞是有效的方法。為此,通過干細胞移植抗衰老的治療,可以提高整體的細胞再生能力,通過細胞再生、繁殖恢復組織和器官的正常生理功能,才能從根本上抑制衰老,延長生命時間,真正達到抗衰老的目的。
從分化功能上講,移植越早期的干細胞,細胞分化能力就越強,更新速度就越快,因而從根本上改變人體內細胞的總體衰老。
干細胞移植抗衰老的臨床療效和安全性評價
2010年暨南大學醫學院血液病研究所李軍研究小組,在間充質干細胞抗衰老作用的動物實驗中發現,干細胞移植組存活日期明顯長于對照組,移植3個月后評價心功能的指標,心脾質量指數,器官組織學衰老程度評分結果以及血生化指標皆優于對照組,證實移植干細胞能有效地延緩衰老進程。
干細胞移植后各臟器呈現較之前狀態,具體表現在以下幾個方面(如圖)。

超聲心動圖顯示對照組左室舒張期容積低于移植組

移植后對照組和移植組肺臟組織學對比
未移植干細胞的對照組肺氣腫改變明顯:氣腔擴大,正常肺泡結構破壞

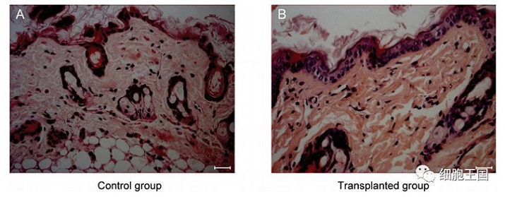
移植后對照組和移植組皮膚組織學對比
對照組皮膚表皮各層界限不清楚,真皮層成纖維細胞數量減少,膠原纖維變細,毛囊數明顯減少,皮下脂肪層變薄;干細胞移植組表皮組織結構相對較完整,細胞分層較清晰。
通過整體水平、器官水平、組織細胞水平、蛋白質水平、分子水平,以及器官結構和功能方面的檢測、數據分析,顯示與對照組相比,間充質干細胞移植可以使存活天數延長,抗氧化能力以及免疫功能得到明顯提高,延緩了各臟器組織學、結構和功能衰老進程,提示間充質干細胞移植有抗衰老作用。
2011年~2012年江蘇省徐州婦幼保健院生物治療中心行干細胞治療抗衰老50例,其中女38例,男12例,年齡在40~80歲,無慢性疾病史,采用靜脈滴注方式移植多能干細胞1.0×108。50例患者,術中無一例患者有不良反應,術后發熱患者3例,體溫最高達39℃囑患者多飲水,或口服對乙酰氨基酸癥狀可自行好轉,自覺周身不適2例,頭痛1例,無需特殊處理,24小時后可自行緩解。
術后隨訪患者:
①外在變化:術后2~3天患者皮膚變光滑、潤澤,膚色變白;1月左右細小皺紋減輕、變淺,面部色斑變淡;3月后,頭發可出現增多、白轉黑現象,皮膚開始變得緊致以及肌肉變得緊實,女性乳房、臀部變得緊致富有彈性。
②免疫力增強,原來易感冒的人不易再感冒。
③睡眠改善,不容易疲勞,精力充沛,記憶力好轉。
④肌肉變得有力,腰膝酸軟疼痛癥狀減輕。
⑤食欲好轉,腹脹、便秘現象減輕甚至消失,腸炎癥狀好轉。
⑥男性功能改善,前列腺肥大增生減輕好轉,女性卵巢早衰患者月經的恢復,更年期癥狀的改善,女性乳房及臀部變得緊致有彈性,乳暈由黑轉紅現象。
⑦代謝率提高,減肥不再困難,體態發生變化,肥胖的人身材變得苗條,脂肪重新分布,機體年輕態的恢復。
⑧全面提高人體功能,改善人體退變現狀,使機體保持青春活力和年輕狀態。
⑨3月后復查血清超氧化物歧化酶(SOD)活力測定均明顯升高。
干細胞移植抗衰老的深入探索及研究方向
國家干細胞工程技術研究中心醫學轉化基地一上海解放軍第455醫院干細胞移植中心孫主任稱:“干細胞技術是再生醫學中最核心的醫療技術,它好比我們身體的某個器官組織受損之后能使其自我再生的細胞,形象地說就像壁虎斷了尾巴之后能再生同一個原理”。通過對干細胞進行分離、體外培養、定向誘導、甚至基因修飾等過程,在體外繁育出全新的、正常的甚至更年輕的細胞,并最終通過細胞組織或器官的移植實現對臨床疾病的治療和抗衰老的目的,還可以廣泛用于治療傳統醫學方法難以醫治的多種頑癥,諸如白血病、早老性癡呆、糖尿病、中風、脊柱損傷和肝病等一系列目前尚不能治愈的疾病。
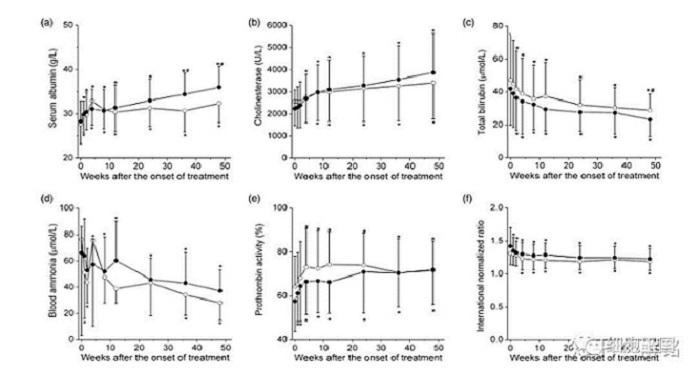
302醫院王福生嘗試利用臍帶間充質干細胞治療失代償期肝硬化(終末期肝硬化),在輸注了四次間充質干細胞后(四周一次),50周肝功明顯改善。
并且,腹水改善明顯。

摘自“Human umbilical cord mesenchymal stem cells improve liver function and ascites in decompensated liver cirrhosis patients”
研究證實,間充質干細胞(MSC)治療肝硬化的原理除了細胞分化外,更傾向于旁分泌作用。現在在肝病領域的得到很多研究者承認的是,MSC歸巢到肝部后,細胞分化進行組織修復的能力并不高,MSC轉分化成肝細胞樣細胞的效率很低(中間牽扯MSC的狀態、分化效率、微環境以及免疫各種因素),但是MSC的旁分泌機制對肝功的恢復真的具有積極作用。具體作用可解釋如圖:
1、肝細胞樣細胞轉分化,2、免疫調節,3、營養因素,3、抗纖維化,4、抗氧化。
資料來自文獻:Young Woo Eom. KJIM.2015
由此可見,應用干細胞技術抗衰老療法,是很多傳統方法無可比擬的,目前最多的抗衰老的方法也儀是針對抗衰老護膚,方法也很多如羊胎素注射、肉毒素注射、激素使用、護膚精華素的使用等手段,其主要原理是:避免皮膚老化的因素、使用抗氧化、抗自由基產品、使用促進皮膚細胞和皮下組織再生,在一定程度上有相近性,但都僅是局部的作用,而不是全身性的,不能預防和控制器官的衰老,而干細胞抗衰老技術具備了這樣的特點。干細胞療法就像給機體注入新的活力,是從根本上治療許多疾病的有效方法。干細胞是一種未分化成熟的原始細胞,其細胞表面的抗原表達很微弱,患者的自身免疫系統對這種未分化細胞的識別能力很低,避免了器官移植引起的免疫排斥反應和過敏反應,是同種異體干細胞移植變得很安全。
干細胞的所有制備過程都在層流無菌實驗室內進行,排除任何細菌、病毒、微生物、粉塵的污染和侵害,無過敏、免疫排斥、形成腫瘤等不良反應或風險。通過干細胞注射治療,還可以達到促進人體內分泌平衡,改善生理機能,令新陳代謝更加旺盛的效果。人到中年由于工作繁忙,身心壓力沉重,體內的新陳代謝就進入了消極狀態,除了人體各功能器官開始出現老化外,占人體體表面積最大的皮膚的變化是最顯而易見的,尤其是女性,皺紋、色斑會根據個人體質而有所增加,使得面色枯黃無光。干細胞可調節內分泌、促進血液循環、增強細胞活力,使人的機體保持在一種積極的平衡狀態中。
展望
隨著現代科學技術的發展,尤其是干細胞研究的不斷深入,通過輸注干細胞抗衰老,是目前最為有效的抗衰老治療手段。1998年,美國《科學》雜志將干細胞的研究成果列在十大科學進展的首位。干細胞抗衰老是再生醫學中最核心的醫療技術,它最顯著的作用就是補充種子細胞替代衰老細胞。
[1]張敬軍,劉焯霖.干細胞的應用[J].中國病理生理,2004,20(8):1522-1526.
[2]楊春,李東飛.異體脂肪源干細胞移植對大鼠的抗衰老作用[J].解剖學報2010.4l(1):87.92.
[3]Anti-aging effect of transplantation of mouse fetus-derived mesenchymal stem cells。
[4]許婷婷,周艷華.人臍帶間充質干細胞對小鼠自然衰老過程中骨髓脂肪化的影響.中國病理生理雜志,2010;26(4):816~818
版權所有:2014-2015 廣州市金航生物科技有限公司 備案/許可證編號:粵ICP備15000157號